徐莉梅课题组在《自然-通讯》发表论文介绍深过冷液体中的奇异输运现象
红足1世66814、量子材料科学中心徐莉梅课题组及其合作者关于深过冷液体中反常输运现象及原子层面微观机理的文章,于北京时间2018年12月17日,以“Stretched and compressed exponentials in the relaxation dynamics of a metallic
glass-forming melt”为题在线发表于国际学术期刊《Nature Communications》。
液体玻璃化转变过程中的动力学行为一直是物理、化学、生物、和材料科学等诸多领域的热点研究问题之一,这不仅归结于玻璃材料在工程应用方面的潜在价值,还在于玻璃转变过程涉及很窄温度区间其动力学多达数十量级的极速变缓这一挑战性的基础科学难题。正如2003年诺贝尔物理学奖得主Sir
Anthony Leggett在一次演讲中所提到的那样:“Glass: The Cinderella Problem of Condensed-matter
Physics”。玻璃形成液体具有诸多简单液体所不具备的动力学特征,如动力学非e指数弛豫行为这一玻璃液体的典型特征之一。目前为止,无序非晶体系的研究还没有很好的理论框架和范式来理解和描述玻璃形成液体和玻璃态物质中的诸多异常行为,特别是在过冷液体淬火过程中,随着温度的降低系统的时空关联函数会从拉伸e指数衰减(stretched
exponential decay)行为逐步转变为压缩e指数衰减(compressed
exponentials)。玻璃态中后一种形式的衰减常常被认为与体系内部的内应力释放有关,但其微观机制确有待于进一步的考察。

|
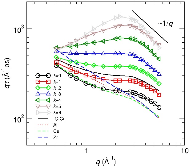
如图所示,在不同的波矢q所定义的空间尺度内,具有不同局域连接度的粒子表现出特异的输运性质。这些奇异的输运行为都可以跟某种特定的原子结构直接关联,它们本身特征的动力学与它们周围的介质相互作用、相互影响,造就了其特殊的输运方式。(tau~1/q2: normal diffusion; tau~1/q: ballistic-like motion.)
|
徐莉梅课题组以典型金属玻璃形成液体(Cu50Zr50)为模型体系,发现压缩e指数衰减的弛豫方式在降温过程中的玻璃形成液体中已经存在;而且,拉伸和压缩e指数衰减所对应的两种动力学弛豫模式在玻璃转变温度以上可以共存,并可跟某些特定的原子结构进行直接关联。这一研究表明过冷液体中原子的动力学异常输运方式与多空间尺度和具有非局域性质的结构序参量直接相关,从而建立了结构与复杂液体的动力学行为的关联,为研究金属玻璃所展现出的优良力学性质提供了新的思路和认识角度。
红足1世66814量子材料科学中心徐莉梅课题组博士后武振伟(现就职于北京师范大学系统科学学院)为论文第一作者。徐莉梅教授,法国Montpellier大学Walter
Kob教授,和武振伟为论文共同通讯作者。该论文的合作者中还包括中科院物理所汪卫华院士。该研究工作得到了国家自然科学基金委,科技部,以及中国博士后科学基金资助项目的联合资助。
文章链接: https://www.nature.com/articles/s41467-018-07759-w